所屬科目:有機化學
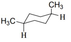
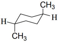
1 下列何者為反-1,4-二甲基環己烷(trans-1,4-dimethylcyclohexane)最穩定之椅式(chair)結構: (A) (B)(C) (D)
3 下列反應的主要產物為何? (A) (B) (C) (D)
4 為何下列分子不能與乙烯進行狄-阿反應(Diels-Alder reaction)? (A)共軛雙鍵穩定度高 (B)缺乏推電子基(electron-releasing group) (C)缺乏拉電子基(electron-withdrawing group) (D)二個雙鍵不為 s-cis 結構
7 下列那一化合物與 HNO3/H2SO4 反應速率最緩慢? (A) (B) (C) (D)
8 下列何者具有反芳香族 (anti-aromatic)性質?(A) (B) (C) (D)
9 ? (A) (B) (C) (D)
10 (A) (B) (C) (D)
11 下列反應的主要產物分子結構為: (A) (B) (C) (D)
12 下列何者酸性最強? (A) (B) (C) H3PO4 (D) HSO4-
15 下列反應,主要產物結構為: (A) (B) (C) (D)
16 下列反應,主要產物結構為: (A) (B) (C) (D)
17 下列反應,主要產物結構為: (A) (B) (C) (D)
18 下列化合物的光譜分析包括紅外光譜和核磁共振光譜。下列那項敘述正確? (A)在氫核磁共振光譜中在 δ5.0~6.0 有吸收的訊號 (B)氫核磁共振光譜中,在 δ2.2 有明顯的單峰吸收 (C)紅外線光譜中,在 3350 及 3450 cm-1 間有一對強吸收峰 (D)紅外線光譜中,在 3350 及 3450 cm-1 間有一個強吸收峰
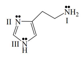
19 下列結構式中有三個氮原子,其鹼性強弱排序為? (A)I > II > III (B)II > III > I (C)III > I > II (D)I > III > II
20 下列反應中,主要產物分子為: (A) (B) (C) (D)
21 下列反應的主要產物為何? (A) (B) (C) (D)
22 下列反應的主要產物為何? (A) (B) (C) (D)
23 下列那一化合物進行 SN1 水解反應速率最快?(A) (B) (C) (D)
⑴ (請標示立體結構)
⑵
⑶
⑷
⑸
⑴
三、下列化合物之沸點高低順序為何?(2 分)試解釋之。(3 分)
四、下列化合物,進行親電性取代(electrophilic substitution)反應,反應 速率順序為何?(3 分)解釋之。(2 分)
五、提供下列反應詳細的反應機制。(10 分)
六、寫出下列反應流程的試劑 A 至 E。(每小題 2 分,共 10 分)