阿摩線上測驗
登入
首頁
>
土壤力學(含樁基礎)
> 108年 - 108 特種考試原住民族三等 土壤力學(包括基礎工程)#79045
108年 - 108 特種考試原住民族三等 土壤力學(包括基礎工程)#79045
科目:
土壤力學(含樁基礎) |
年份:
108年 |
選擇題數:
0 |
申論題數:
11
試卷資訊
所屬科目:
土壤力學(含樁基礎)
選擇題 (0)
申論題 (11)
⑴說明此配置接近何種實驗室滲透係數量測試驗並說明理由。(5 分)
⑵三種土壤之滲透係數(k)分別為:Soil A, k=0.01;Soil B, k=0.005; Soil C, k=0.0025(單位:cm/s),計算此土柱等值滲透係數(單位:cm/s)與 流率(單位:cm
3
/hour)。(10 分)
⑶計算圖一中 h
A
及 h
B
數值並繪製此平行滲流土柱總水頭分布圖。(10 分)
⑴條列五種適合使用樁基礎之時機。(5 分)
⑵列出三類可用以推估打擊式基樁其垂直承載力之方法並說明之。(10 分)
⑶ 繪圖說明承受垂直載重單樁其荷重承載機制( load transfer mechanism)。(10 分) ΔH = 300 mm
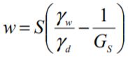
⑴繪製土壤顆粒體積為一單位之土壤三相圖(three phase diagram),詳 細標註其各相之體積及重量。(5 分)
⑵以⑴之三相圖,證明飽和度(S)及孔隙比(e)相乘之值與重量含水 量(w)及土壤顆粒比重(Gs)之相乘值相同。(10 分)
⑶承⑵,證明
式中 γ
w
=水單位重, γ
d
=乾土單位重。(10 分)
⑴計算每公尺牆背主動土壓力合力之大小(P
AR
)與作用高度(H
AR
)及 牆前被動土壓力合力(P
PR
)及作用高度(H
PR
)。(10 分)
⑵計算此擋土牆之抗傾倒(overturning)及滑動(sliding)之安全係數。 (15 分)
相關試卷
111年 - 111 高等考試_三級_港灣工程:土壤力學(含樁基礎)#109533
111年 · #109533
109年 - 109 身心特考_三等_水利工程:土壤力學(包括基礎工程)#86357
109年 · #86357
108年 - 108 公務人員升官等公務薦任_土木工程:土壤力學(包括基礎工程)#80525
108年 · #80525
108年 - 高考二級 土壤力學(包括基礎工程)#79556
108年 · #79556
108年 - 108 高等三級 土壤力學(含樁基礎)#78078
108年 · #78078