所屬科目:北水◆工程力學及流體力學
2.如【圖 2】所示,F1 及 F2 均為 300N,請問 X 方向之分量各為多少? (A) 276.92N, 259.81N (B) 276.92N, 192.83N (C) 115.38N, 259.81N (D) 115.38N, 192.83N
4.【圖 4】為承受負載的梁,試求 A 點支承的反作用力為多少? (A) 5.44 kN (B) 6.44 kN (C) 7.44 kN (D) 8.44 kN
8.如【圖 8】所示,下列何者不是零力桿件? (A) DF (B) CF (C) CG (D) GF
9.如【圖 9】所示,該桁架為靜定或幾度靜不定? (A)靜定 (B) 1 (C) 2 (D) 3
10.如【圖 10】所示,請問桁架桿件 A 支承之反力為多少? (A) 300 kN (B) 400 kN (C) 500 kN (D) 600 kN
11.如【圖 11】所示,請求出組合面積對 X 軸之慣性矩為何? (A) 101.2✖106mm4 (B) 111.3✖106mm4 (C) 123.6✖106mm4 (D) 136.5✖106mm4
12.已知三角形底邊為 b,高度為 h,有關三角形面積之幾何性質,下列敘述何者錯誤? (A)面積為 (B)形心位置為 (C)重心位置為 (D)面積慣性矩為
14.如【圖 14】所示之簡支梁,其支承 A、B 之垂直反力 RA、RB 分別為: (A) RA=2kN(↑)、RB=2kN(↑) (B) RA=2kN(↓)、RB=6kN(↑) (C) RA=1kN(↑)、RB=3kN(↑) (D) RA=1kN(↓)、RB=5kN(↑)
15.面積為 A,對 x 軸之慣性矩為 Ix,則此面積對 x 軸之迴轉半徑為: (A) A•Ix (B) A•(Ix)2 (C) (D)
16.共平面共點之兩力 T1 和 T2,其合力為 R,T1 與 R 之夾角為 30°,T2 與 R 之夾角為 45°,如【圖 16】 所示。已知 T1 之大小為 50N,則 T2 之大小為多少? (A) 50sin75°N (B) 100sin75°N (C) N (D) N
18.如【圖 18】所示,當外力 F 作用在自由端時,造成 O 點之彎矩為何?(A)Mo=12.5kN-m (B)Mo=14.5kN-m (C)Mo=16.5kN-m (D)Mo=18.5kN-m
19.如【圖 19】所示,當 100 N 的外力作用 B 點時,則 A 點的反力為何?(A)RAx=40N,RAy=70N (B)RAx=50N,RAy=75N (C)RAx=60N,RAy=80N (D)RAx=70N,RAy=85N
20.如【圖 20】所示,試求滾支承 B 的反力為何? (A) RB=2.0 kN (B) RB=2.577 kN (C) RB=4.464 kN (D) RB=3.464 kN
21.如【圖 21】所示,試求滾支承 B 的反力為何? (A) RB=8.0 kN (B) RB=9.0 kN (C) RB=10 kN (D) RB=12 kN
22.如【圖 22】所示,當荷重 P 作用於梁中點時,試求定向支承 A 之反力距MA為何?(A)MA= (B)MA=PL (C)MA= (D)MA=
23.如【圖 23】所示,試求纜繩 BC 之拉力為何?(A)FBC=60kN (B)FBC=70kN (C)FBC=80kN(D)FBC=90kN
24.如【圖 24】所示,梁構件分別於 1/3 點與 2/3 點處承受集中載重,且該梁之基礎反力成線性分佈如圖所示,請問集中載重 P 與基礎反力 w1 之間的關係為何?(A) (B) (C) (D)
25.如【圖 25】所示,試求桁架 CB 桿件內力大小為何? (A)FCB= 0kN (B)FCB= 5kN (C)FCB= 10kN (D)FCB= 20kN
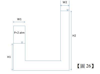
26.如【圖 26】所示,考慮靜置於容器中的水,已知水箱內氣壓為 2 大氣壓(atm),周圍環境之空氣壓力 為 1 大氣壓,若 H1 = 10m、W1 = 3m、W2 = 2.5m,請問 H2 為何? (A) 10m (B) 10.34m (C) 20m (D) 20.34m
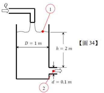
34.如【圖 34】所示,水在直徑 1m 桶中由直徑 0.1m 的管穩定流出,若需維持水深定值 2m,則需入流 量多少?(A) 6.26 m3/s (B) 4.92m3/s (C) 0.0492 m3/s (D) 0.055 m3/s
37.如【圖 37】所示,若自來水以流量 5m3 /s 與壓力 40000kg/m2,通過管徑 1.0m 之(1)處輸送到內徑 1.3m 之水輪機。(2)處為水輪機入口下方距(1)處 3m,管徑為 1.3m、靜壓力為-25cmHg。若水輪機馬力為 2500 馬力,則(1)與(2)處間功率損失為何? (A) 300-400 馬力 (B) 400-500 馬力 (C) 500-600 馬力 (D) 600-700 馬力
45.如【圖 45】所示,在機械的軸承中加入潤滑油,以減少機械運轉時的磨損與磨擦阻力,此問題可視 為在兩塊平板之間充滿某種黏性流體。若下平板固定不動,上平板以等速 U 移動,潤滑油的動力黏滯係數為 0.05Ns/m2,則上平板處之剪應力為何? (A) 1N/m2 (B) 5N/m2 (C) 10N/m2 (D) 15N/m2
48.如【圖 48】所示,兩條水管並聯,其長度 L1=1000m,L2=1500m,管徑 D1=0.5 m,D2=0.4m,摩擦 係數 f1=f2=0.013。兩條水管水頭損失相同,總流量為 Q=1.0cms,請問下列何者正確? (A) Q1=0.32cms (B) Q2=0.68cms (C) Q2>Q1 (D) Q2<Q1