所屬科目:北水◆流體機械及工程力學
14.於空氣機械的計算中常用標準空氣,請問下列何者不是標準空氣的條件? (A)空氣溫度為 20℃ (B)空氣相對濕度為 75% (C)絕對壓力為 760 mm Hg (D) 1 m3 的重量為 1.20 kg
25.有一水輪機(water turbine)產生 295N-m/kg 的功率,請問通過該輪機的揚程(head)值為何? (提示: ) (A) 25m (B) 30m (C) 40m (D) 45m
27.如【圖 27】所示之簡支樑,樑上有均佈負荷 W,樑在支點間之長度為 l,求其樑內最大彎矩 M 為多 少? (A) wl2 /2 (B) wl2 /4 (C) wl2 /6 (D) wl2 /8
28.如【圖 28】所示,三方塊重 A =200N,B =300N,C =400N,A 受牆面阻擋限制其向左運動,已知所 有接觸面之靜摩擦係數 μ=0.3,試求水平力 P 要多大才能拉動 B 向左移動? (A) 100N (B) 180N (C) 200N (D) 210N
29.如【圖 29】所示,A 支點支承反力為何? (A) 12kN (B) 24kN (C) 36kN (D) 48kN
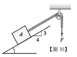
30.如【圖 30】所示,若物體 A 重 100N,物體與斜面靜摩擦係數 μ=0.5,忽略不計繩與輪子之摩擦力, 當 F 力為多少時可將物體 A 移動上滑? (A) 60N (B) 80N (C) 100N (D) 120N
31.如【圖 31】的滑輪組,每個重 8 公斤重,今欲提升 50 公斤重的重物,請問不計摩擦時,須施力多少 公斤重的力? (A) 25 (B) 27 (C) 29 (D) 33
32.請計算【圖 32】中簡支樑在 A 點之力量大小? (A) 6kN (B) 7kN (C) 8kN (D) 9kN
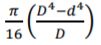
33.如【圖 33】之圓截面形狀,其對中心截面之慣性矩為何?(D 為外徑;d 為內徑) (A)(B)(C)(D)
35.請用節點法計算【圖 35】中 AC 桿構件之內力為多少? (A)壓力 1099kg (B)拉力 1199kg (C)拉力 1299kg (D)壓力 1399kg
36.如【圖 36】所示有一長 1000mm 之搖桿,與直徑 40mm 之軸以鍵固定,鍵之受剪面積為 600mm2 , 鍵之容許剪應力為 60MPa,搖桿末端所施加之最大 P 值為多少? 選項: (A) 560N (B) 660N (C) 720N (D) 860N
37.如【圖 37】所示,3 塊板材以 3 個相同鉚釘接合,若鉚釘之直徑為 20mm,且鉚釘最大可承受之剪 應力為 20MPa,在鉚釘不被破壞狀況下,則所能承受最大施力 P 為多少? (A) 23.3kN (B) 37.7kN (C) 46.6kN (D) 56.8kN
41.如【圖 41】所示之結構與負載,CD 桿件之受力為何? (A) 4kN (B) 2 kN (C) 8kN (D) 8 kN
42.如【圖 42】所示之平面桁架結構,下列何者不是零力桿件(zero-force member)? (A) CD (B) BE (C) AB (D) DE
43.有關一半徑為 r 的圓面積,其慣性矩之敘述,下列何者正確? (A)對其平面上任一直徑軸的慣性矩為 (B)對其通過圓心且垂直平面的軸,其極慣性矩為 (C)對原點在圓心之直角座標軸,其慣性積(product of inertia, Ixy)為零 (D)此面積之最大慣性矩發生於通過圓心之座標軸
44.有一質點於 x 軸做直線運動,其速度 vx 隨時間之變化如【圖 44】所示,假設質點從原點出發,則此 質點於 t=12 s 時之位置座標為: (A) 280m (B) 320m (C) 325m (D) 600m
45.如【圖 45】之滑輪機構,下列何者為 A、B 兩物體間之正確速度關係式?(負號表示方向相反) (A)(B) (C) (D)
47.如【圖 47】之螺栓接頭承受拉力負載,則下列何者不是可能的破壞模式? (A)結構板片孔材料承壓(bearing)破壞 (B)螺栓材料承壓破壞 (C)螺栓材料剪切(shearing)破壞 (D)螺栓結構挫曲(buckling)破壞
48.如【圖 48】所示之懸臂樑,樑中截面之最大彎矩為: (A) (B) (C)(D)
49.如【圖 49】所示之樑截面,承受 x 軸向之彎矩 Mx=100 kN-m,則此樑截面上之最大彎曲應力為: (A) 95.0MPa (B) 123.5MPa (C) 468.3MPa (D) 608.8MPa