所屬科目:紡紗學與織布學
1 ⑴試推導出紗線直徑(d)與紗線支數(Nc)之關係。(8 分)
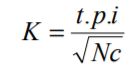
⑵ 試 推 導 出 紗 線 撚 係 數 (K) 與 紗 線 撚 度 (t.p.i) 及 紗 線 支 數 (Nc) 之 關 係 。(8 分)
三、假設:經紗縮率(C1) = 5%,緯紗縮率(C2) = 8%,經紗耗損率(X1) = 1.5%, 緯紗耗損率(X2) = 3%,織造次布(不良)率(P) = 1%;今欲生產如下規格 與數量之梭織物,請計算所需要購買之經紗重量(10 分)及緯紗重量 (10 分)分別為多少件紗? 織物規格: