所屬科目:捷運◆JAVA及資料庫
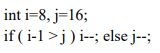
10. 下列程式執行後,i 的值是? (A)15 (B)16 (C)7 (D)8
12. 請問若變數 i 的值為 2,則下列程式碼執行後,陣列 A 的內容為何? (A){1,3,2,4,5} (B) {1,2,3,4,5} (C){1,2,4,3,5} (D){5,4,3,2,1}
18. 下面程式執行後的結果會顯示的是? (A)編譯時將產生錯誤 (B)編譯時正確,運行時將產 生錯誤 (C)輸出零 (D)輸出空
19. 下面程式執行後的結果會顯示的是? (A)NULL (B)編譯錯誤 (C)例外錯誤 (D)執行完後 無結果顯示
20. 下面第四行程式碼/* Point X*/,應該填入甚麼指令,才能夠讓程式順利編譯? (A)throws Exception (B)Catch (Exception e) (C)throws ExceptionTest (D)Catch (TestException e)
22. 下面程式執行後的結果是? (A)1332 (B)Exception (C)編譯失敗 (D)溢位錯誤
23. 下面的程式執行後 k 結果為何? (A)5 (B)6 (C)7 (D)8
24. 請問下列程式執行後,x[5][4]、x[6][4]、x[7][4]的值分別為何? (A)9,10,11 (B)9,14,18 (C)9,15,19 (D)9,12,28
25. 執行下列程式片段後,則 A(2,4)的值與何者相同? (A)A(4,1) (B)A(4,2) (C)A(4,3) (D)A(5,4)