所屬科目:資料處理
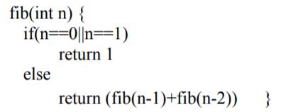
10. 有一函數定義如下,請問 fib(10)為?(A)55 (B)34 (C)87 (D)89
7. 執行下列Visual Basic 程式片段,輸出結果為______
8. 執行下列Visual Basic 程式片段,輸出結果為______
9. 執行下列Visual Basic 程式片段,輸出結果為 _________
10. 執行下列Visual Basic 程式片段,輸出結果為________