阿摩線上測驗
登入
首頁
>
技檢◆模具-模具-丙級
> 108年 - 108-3 技術士技能檢定學科測試試題-丙級:18400模具-模具項#80955
108年 - 108-3 技術士技能檢定學科測試試題-丙級:18400模具-模具項#80955
科目:
技檢◆模具-模具-丙級 |
年份:
108年 |
選擇題數:
80 |
申論題數:
0
試卷資訊
所屬科目:
技檢◆模具-模具-丙級
選擇題 (80)
1. 下列量具何者用於間接度量而不能直接讀出數據(A)游標卡尺(B)高度規(C)卡規(D)組合角尺。
2. 與公務機關接洽業務時,下列敘述何者「正確」?(A)唆使公務機關承辦採購人員配合浮報價額,僅屬 偽造文書行為(B)與公務員同謀之共犯,即便不具公務員身分,仍會依據貪污治罪條例處刑(C)沒有要求公務員違背職務,花錢疏通而已,並不違法(D)口頭允諾行賄金額但還沒送錢,尚不構成犯罪。
3. A0 圖紙的尺寸大小為(A)420×594 ㎜(B)841×1189 ㎜(C)594×841 ㎜(D)297×420 ㎜。
4. 桌上型鑽床的規格是以何者表示(A)鑽頭最大直徑(B)鑽床寬度(C)鑽床高度(D)鑽頭最大長度。
5. 一般人生活產生之廢棄物,何者屬有害廢棄物?(A)廚餘(B)廢玻璃(C)鐵鋁罐(D)廢日光燈管。
6. 遛狗不清理狗的排泄物係違反哪一法規?(A)廢棄物清理法(B)毒性化學物質管理法(C)水污染防治法(D) 空氣污染防制法。
7. 當銑床工作台傳動往復背隙過大時,表示該調整(A)主軸鬆緊度(B)工作台水平度(C)床台導螺桿間隙(D)手 輪間隙。
8. 為減輕沖孔的沖剪力,通常採用的方法是(A)沖頭作剪斜角(B)沖頭作倒角(C)增加送料槽間隙(D)減少沖模 間隙。
9. 流行病學實證研究顯示,輪班、夜間及長時間工作與心肌梗塞、高血壓、睡眠障礙、憂鬱等的罹病風 險之相關性一般為何?(A)可正可負(B)負(C)無(D)正。
10. 指示量錶之指針歸零,最簡易之方式為(A)提升量錶觸桿(B)調整磁性台架的高度(C)旋轉針盤面(D)旋轉錶 殼。
11. 欲延長鉸刀壽命應(A)反轉退刀(B)使用適當切削劑(C)交替正反轉以斷屑(D)快速鉸削。
12. 銼削工作中,真正做切削的行程為(A)回程(B)去回程都有(C)由操作者決定(D)去程。
13. 鑽削較硬的材料,其進刀速度應(A)增加 1 /2(B)增加 1 倍(C)減少(D)維持不變。
14. 沖壓加工中剪斷面形狀,受何者影響最大(A)工件尺寸(B)沖模間隙(C)沖頭材質(D)沖床速度。
15. 身為公司員工必須維護公司利益,下列何者是正確的工作態度或行為?(A)將公司逾期的產品更改標籤 (B)服務時首先考慮公司的利益,然後再考量顧客權益(C)工作時謹守本分,以積極態度解決問題(D)施工時以省時、省料為獲利首要考量,不顧品質。
16. 磨削鑄鐵,磨料應選用(A)C(B)GC(C)WA(D)A。
17. 1 kg/cm
2
的壓力值約等於(A)750 ㎜ Hg(B)760 ㎜ Hg(C)736 ㎜ Hg(D)780 ㎜ Hg。
18. 一位職場新鮮人剛進公司時,良好的工作態度是(A)多打聽哪一個部門比較輕鬆,升遷機會較多(B)多遊 走各部門認識同事,建立自己的小圈圈(C)多觀察、多學習,了解企業文化和價值觀(D)多探聽哪一個公司在找人,隨時準備跳槽走人。
19. 若使用後的廢電池未經回收,直接廢棄所含重金屬物質曝露於環境中可能產生那些影響:A.地下水污 染、B. 對人體產生中毒等不良作用、C. 對生物產生重金屬累積及濃縮作用、D.造成優養化?(A)ACD(B)ABC(C)ABCD(D)BCD。
20. 銼削內方孔之交角處,不宜使用(A)方(B)圓(C)三角(D)平 銼刀。
21. 將原料、機器及操作人員等類別分為若干個層次,以找出其間差異,進而針對差異加以改善的方法, 稱為(A)特性要因圖分析(B)柏拉圖分析圖(C)查核表(D)層別法。
22. 1 Pa 的壓力值等於(A)1.02 kg/cm
2
(B)1 kg/cm
2
(C)1 N/m
2
(D)1.013 kg/cm
2
。
23. 成品發生毛邊應檢查(A)開模行程(B)滑塊行程(C)分模面(D)頂出行程。
24. 六面體工件劃線前,應完成加工基準面(A)3 面(B)4 面(C)2 面(D)1 面。
25. 依據台灣電力公司三段式時間電價(尖峰、半尖峰及離峰時段)的規定,請問哪個時段電價最便宜?(A) 夏月半尖峰時段(B)非夏月半尖峰時段(C)離峰時段(D)尖峰時段。
26. A-36-L-5-V-23 之砂輪規格中,5 代表(A)結合度(B)組織密度(C)結合材料(D)磨料粒度。
27. 螺絲攻第三攻的主要功能為(A)排出切屑(B)切削盲孔完全螺紋深度(C)光切螺紋(D)導正螺紋軸線。
28. 一般車床導螺桿為每 4 牙/25.4 ㎜,牙標上蝸輪之齒數為(A)16(B)12(C)24(D)20 齒。
29. M10×1.25 之螺紋,攻絲前應取直徑(A)10 ㎜(B)8.8 ㎜(C)11.25 ㎜(D)10.25 ㎜ 鑽頭鑽孔後再攻螺紋。
30. 工件旋轉刀具平移的工具機是(A)車床(B)鉋床(C)鋸床(D)插床。
31. 何種材料鑽孔時,其切屑不易捲曲(A)低碳鋼(B)紅銅(C)鑄鐵(D)鋁合金。
32. 銑床虎鉗夾持工件,一般於使用平行塊時,其一組為(A)2(B)3(C)4(D)1 塊。
33. 一般高速鋼車刀的硬度值為 HRC(A)60(B)35(C)50(D)80。
34. 在扁平工件表面劃線,為使工件放置穩定,宜使用何者輔助?(A)V 形枕(B)直角規(C)劃線台(D)高度規。
35. 下圖之表面符號中,「6.3」是表示表面粗糙度的
(A)上下極限(B)最小極限(C)等級(D)最大極限。
36. 外徑分厘卡之兩個砧座面是否磨損或平行,可用何種量具檢驗(A)精測塊規(B)光學平面鏡(C)表面粗度儀 (D)工具顯微鏡。
37. 下料加工,工件的毛邊產生在(A)視加工情況而定(B)下模側(C)兩側(D)沖頭進入側。
38. 何者非標準頂出銷尺寸(A)ψ1.9 ㎜(B)ψ4.0 ㎜(C)ψ2. 0 ㎜(D)ψ3.9 ㎜。
39. 彎形之回彈量大小是如何表示(A)速度(B)作用力(C)角度(D)距離。
40. 下列何種省水馬桶的使用觀念與方式是錯誤的?(A)如果家裡的馬桶是傳統舊式,可以加裝二段式沖水 配件(B)因為馬桶是家裡用水的大宗,所以應該儘量採用省水馬桶來節約用水(C)選用衛浴設備時最好能採用省水標章馬桶(D)省水馬桶因為水量較小,會有沖不乾淨的問題,所以應該多沖幾次。
41. 砂輪結合度英文字母 ABCD 級別是表示砂輪質地為(A)特軟(B)硬(C)特硬(D)軟。
42. 成形銑刀材質通常為(A)工具鋼(B)陶瓷(C)碳化鎢(D)高速鋼。
43. 在斜面磨削完成後,不需要檢查斜面的(A)角度(B)表面粗糙度(C)平行度(D)平面度。
44. 質輕、導熱快且易加工,較常用於製造腳踏車零件或散熱片的材料為(A)鋁合金(B)鑄鐵(C)碳鋼(D)黃銅。
45. 下列哪些廢紙類不可以進行資源回收?(A)包裝紙(B)雜誌(C)報紙(D)紙尿褲。
46. 勞工為節省時間,在未斷電情況下清理機臺,易發生哪種危害?(A)墜落(B)缺氧(C)捲夾感電(D)崩塌。
47. 常用螺絲攻之材質是(A)鎢鋼(B)高速鋼(C)高碳鋼(D)鉻鋼。
48. 設鏈輪齒數 18 齒、節距 16 ㎜,則鏈輪節圓直徑約為(A)92 ㎜(B)8 5 ㎜(C)95 ㎜(D)100 ㎜。(sin1 0°=0.1736)
49. 比較生鐵、熟鐵及鋼三種金屬材料的含碳量,依多寡順序何者正確?(A)生鐵>鋼>熟鐵(B)鋼>生鐵> 熟鐵(C)鋼>熟鐵>生鐵(D)熟鐵>生鐵>鋼。
50. 磨削時,若工件移動速度太快會造成(A)燒焦(B)振紋(C)破裂(D)填塞。
51. 台灣年降雨量是世界平均值的 2.6 倍,卻仍屬缺水地區,原因何者為非?(A)台灣由於山坡陡峻,以及 颱風豪雨雨勢急促,大部分的降雨量皆迅速流入海洋(B)降雨量在地域、季節分佈極不平均(C)水庫蓋得太少(D)台灣自來水水價過於便宜。
52. 選用砂輪直徑大小,主要依據(A)工件高度(B)磨床主軸最高轉速(C)表面粗糙度要求(D)工件寬度。
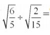
53. 計算
(A)
(B)5(C)
(D)3。
54. 雇主於臨時用電設備加裝漏電斷路器,可避免下列何種災害發生?(A)被撞(B)感電(C)物體倒塌;崩塌(D) 墜落。
55. "WA-36-K-6-V" 中之"K"表示(A)製法(B)組織(C)結合度(D)粒度。
56. 製作沖製螺帽的碳化鎢模具,宜採用何種製作方法(A)粉末治金(B)磨床加工(C)銑床加工(D)車床加工。
57. 量測及劃線用之平板,材質大多為(A)軟鋼(B)不銹鋼(C)鑄鐵(D)高速鋼。
58. 何者非模具設計時應該考慮的因素(A)成型時間(B)成品包裝(C)縮水率(D)成型機大小。
59. 所謂第四代電腦使用之主要電子元件為(A)真空管(B)超大型積體電路(C)積體電路(D)電晶體。
60. 鋸條規格"300×12×0.64-24T"中之"300"代表鋸條(A)長度(B)每 25.4 ㎜齒數(C)寬度(D)厚度。
61. 下列何種現象不是直接造成台灣缺水的原因?(A)地形山高坡陡,所以雨一下很快就會流入大海(B)降雨 季節分佈不平均,有時候連續好幾個月不下雨,有時又會下起豪大雨(C)因為民生與工商業用水需求量都愈來愈大,所以缺水季節很容易無水可用(D)台灣地區夏天過熱,致蒸發量過大。
62. 模具組裝,若發現零件配合不良時,應先(A)比對圖面(B)報告組長(C)通知設計人員(D)自行修改。
63. 清潔銑床工作台上之T形溝槽,絕對不可使用(A)壓縮空氣(B)油沖洗(C)水沖洗(D)刷子。
64. 游標卡尺量測工件外徑時,施加過大之夾緊力將量得(A)偏小尺寸(B)正確尺寸(C)與施力大小無關(D)偏大 尺寸。
65. V 形皮帶輪之凹槽角度約為(A)52-60°(B)20-30°(C)32-40°(D)42-50°。
66. 銑削平面寬度 25 ㎜之工件時選用之面銑刀,其直徑應為(A)15(B)30(C)10(D)20 ㎜。
67. 平面磨床台面應多久清潔、上油一次(A)每週(B)每月(C)每年(D)每日。
68. 阿哲是財經線的新聞記者,某次採訪中得知 A 公司在一個月內將有一個大的併購案,這個併購案顯示 公司的財力,且能讓 A 公司股價往上飆升。請問阿哲得知此消息後,可以立刻購買該公司的股票嗎?(A)可以,不賺白不賺(B)可以,有錢大家賺(C)可以,這是我努力獲得的消息(D)不可以,屬於內線消息,必須保持記者之操守,不得洩漏。
69. 鉸孔時,鉸刀鉸削與退出之旋轉方向應(A)相同(B)依工件材質而定(C)相反(D)依鉸刀種類而定。
70. 砂輪垂直降下磨削工件時,須預留多少㎜以手動進給為宜(A)2~3(B)6~8(C)9~10(D)4~5。
71. 品質是指下列何者對產品的滿意度(A)品管人員(B)操作人員(C)顧客(D)高階主管。
72. 欲車削曲面,其刀具宜選用(A)切斷刀(B)右手車刀(C)圓鼻車刀(D)螺紋刀。
73. 四邊形的二對角線相等且互相垂直,則此四邊形為(A)長方形(B)正方形(C)梯形(D)不等邊四邊形。
74. 設若手輪刻度每小格為 0.005 ㎜,每轉一圈為 5 ㎜,若欲進刀 6.22 ㎜,則應轉一圈又多少格(A)262(B)2 44(C)122(D)622。
75. 勞動基準法第 84 條之 1 規定之工作者,因工作性質特殊,就其工作時間,下列何者正確?(A)無例假 與休假(B)勞雇間應有合理協商彈性(C)完全不受限制(D)不另給予延時工資。
76. 齒輪式高速車床變換主軸轉速的正確時機為(A)主軸停止前瞬間(B)主軸啟動後瞬間(C)主軸停止後(D)主 軸轉動時 變速。
77. 切斷鋼料用之磨輪應選用(A)金屬(B)合成樹脂(C)橡膠(D)黏土 為結合劑較不易斷裂。
78. ψ5 頂出銷的公差為何(A)0~-0.02 ㎜(B)0~-0. 2 ㎜(C)+0.2~0 ㎜(D)+0.02~0 ㎜。
79. 放電加工容易積碳的主要原因為(A)排渣時間太短(B)工件未完全被冷卻液覆蓋(C)放電面積太小(D)放電 時間太短。
80. 鋸齒較細的帶鋸條,適合於(A)快速(B)厚材料(C)軟材料(D)細加工面 鋸切。
申論題 (0)
相關試卷
115年 - 18400 模具-模具項 丙級 工作項目 07:機具維護 1-25(2026/01/05 更新)#136167
115年 · #136167
115年 - 18400 模具-模具項 丙級 工作項目 06:故障察覺 1-25(2026/01/05 更新)#136166
115年 · #136166
115年 - 18400 模具-模具項 丙級 工作項目 05:模具製作及修整 51-100(2026/01/05 更新)#136165
115年 · #136165
115年 - 18400 模具-模具項 丙級 工作項目 05:模具製作及修整 1-50(2026/01/05 更新)#136164
115年 · #136164
115年 - 18400 模具-模具項 丙級 工作項目 04:刀具選用、研磨及配置 1-50(2026/01/05 更新)#136163
115年 · #136163
115年 - 18400 模具-模具項 丙級 工作項目 03:基本操作 101-150(2026/01/05 更新)#136162
115年 · #136162
115年 - 18400 模具-模具項 丙級 工作項目 03:基本操作 51-100(2026/01/05 更新)#136161
115年 · #136161
115年 - 18400 模具-模具項 丙級 工作項目 03:基本操作 1-50(2026/01/05 更新)#136160
115年 · #136160
115年 - 18400 模具-模具項 丙級 工作項目 02:手工作業 51-100(2026/01/05 更新)#136159
115年 · #136159
115年 - 18400 模具-模具項 丙級 工作項目 02:手工作業 1-50(2026/01/05 更新)#136158
115年 · #136158