所屬科目:教師專業碩士◆資訊專業
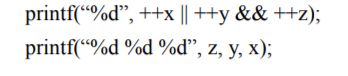
1. 假設 x, y, z 三者皆為整數變數,x=6, y=4, z=2 在執行完下列兩行程式碼後,會 印出甚麼結果? (A)0642 (B) 1 7 4 2 (C) 1 2 4 6 (D) 1 2 4 7
6. 請問下列 C++程式碼執行後的輸出應為何者?(A) west (B) null (C) 3 (D) 1
7. 請問下列 Java 程式片段輸出值應為多少? (A) 6 (B) 12 (C) 15.6 (D) 15
10. 以下為一個遞迴函式,請問當呼叫 recursive(4)的時候,該函式會被呼叫幾次?(A) 4 次 (B) 8 次 (C) 32 次 (D) 無限多次
17. A + (B ● C) = (A + B) ● (A + C)代表布林代數中的哪一個定理? (A) 單一律 (B) 交換律 (C) 結合律 (D) 分配律
18. 若一個 Boolean function 以 sum of minterms 的方式表達為Σ(1, 3, 5, 7),則下列 何者是它以 product of maxterms 表達的結果? (A) (1, 3, 5, 7) (B) (1, 3, 4, 6) (C) (0, 2, 5, 7) (D) (0, 2, 4, 6)