所屬科目:教甄◆數學專業
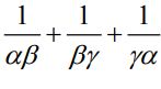
1. 設 f(x)為實係數三次多項式,且 α 、β 、γ 為 f( x )= 0 的根 ,若=120, 求 之值=___________
2. 若複數 與 的主幅角分別為 與 ,求複數 z = ________。(請以標準式作答)
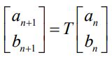
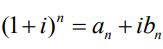
3. 對於正整數 n, 設 ,其 中 且αn、bn 為實數。 已知αn、bn會滿足矩陣乘法 ,試求矩陣T26 =________。(須寫出各元素的值)
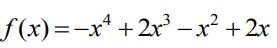
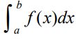
4. 設四次多項式 , 選取積分區間 a≤ x ≤ b使得定積分 達到最大值, 求此定積分的最大值 =________。
5. 如右圖,圓 A,B,C,D,E,F 都是半徑為 1 的圓,且相鄰的兩圓 皆相切,若 P 是圓 A 上的動點,Q 是圓 F 上的動點,求 長度的最大值是 _______。
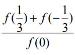
7. 設函數 ,其中 0°<x<90°,則 f(x)的最小值是 __________。
9. ΔOAB 中,若 ˙ = x, ˙ = y, ˙ = z,試以 x,y,z 來表示ΔOAB 的面積 為 _________。
10. 設 A(0, 0, 6),B(0, 0, 20)為空間中的兩個定點,P(x, y ,0)為一個動點,若 0≤ x ≤15,0 ≤ y ≤15, ∠APB ≥ 30°,求 P 點之軌跡所成之圖形的面積 __________。
11. 如下圖一,將三個邊長為 12 的正方形紙片,分別取其中相鄰兩邊中點的連線切成一個等腰直角 三角形和一個五邊形。如下圖二,將這 3 個等腰直角三角形、3 個五邊形和 1 個邊長為的正 六邊形,沿著粗線向上折成一角錐多面體,求此角錐多面體的體積是____________。 (紙片厚度忽略不計)