所屬科目:研究所、轉學考(插大)◆輸送現象及單元操作
Problem 2 A well-known real gas law is the van der Waals equation, which is written aswhere P = pressure, in atm = molar volume, m3/mole R = ideal gas constant T = temperatureWhat are the units of a and b?
(1) Stoke’s law:
(2) Hagen-Poiseuille equation:
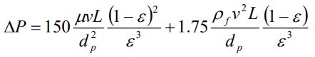
(3) Ergun equation:
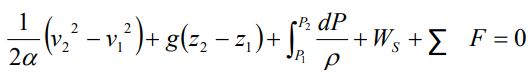
(4) Mechanical-energy-balance equation:
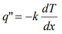
(5) Fourier’s law: