阿摩線上測驗
登入
首頁
>
研究所、轉學考(插大)-微積分
> 109年 - 109中原大學_碩士班招生考試_應用數學系:微積分#101247
109年 - 109中原大學_碩士班招生考試_應用數學系:微積分#101247
科目:
研究所、轉學考(插大)-微積分 |
年份:
109年 |
選擇題數:
0 |
申論題數:
12
試卷資訊
所屬科目:
研究所、轉學考(插大)-微積分
選擇題 (0)
申論題 (12)
(a)
(b)
(a)
(b)
3.試計算不定積分
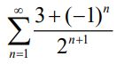
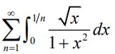
4. 試比較
兩數之大小。
二、 微積分(B),
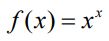
1.設
試求
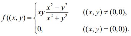
(a)試求
(b)試問 f 在原點 (0,0) 可微導嗎?
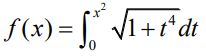
(a)
(b)
4.試計算重積分