所屬科目:(1)計算機概論 (2)程式設計概論
3. 執行完下列 C# 程式 test() 後,y 的值為以下何者? (A) 1 (B) 2 (C) 3 (D) 4。
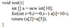
8. 執行完下列 C# 程式 test()後,回傳結果為以下何者? (A) 10 (B) 11 (C) 12 (D) 13。
9. 執行完下列 C# 程式 test(20) 後,回傳結果為以下何者? (A) 2 (B) 3 (C) 4 (D) 5。
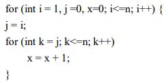
12. 下列 Java 程式,x = x +1 指令會執行幾次? (A) n (B) 2n (C) n(n+1)/2 (D) n(n-1)/2。
22. 執行完下列 C++程式 test()後,輸出結果為以下何者? (A) AB,AB (B) A,B (C) A,AB (D) A,BB。
23. 執行完下列 C++程式 test()後,輸出結果為以下何者? (A) AB,AB (B) A,B (C) A,AB (D) A,BB。
25. 編譯執行下述Java程式,以下何者敘述正確? (A)第四行無法編譯 (B)第五行無法編譯 (C) 程式碼可編譯執行,輸出"True" (D)程式碼可編譯執行,輸出"False"。
48. 當資料庫未執行「並行(Concurrency)控制」時,在資料分享上遭遇的問題,是以下何者?① 資料異動遺失(Lost update)②未確認資料相依(Uncommitted dependency)③ 不一致資料分析 (Inconsistent analysis) ④ 循序式存取(Sequential access)? (A)① ②③ (B)①②④ (C)① ③ ④ (D) ② ③ ④ 。