所屬科目:研究所、轉學考(插大)-微積分
1. Evaluate the double integral. (15%)
(1)
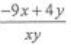
(2)
4. Find the derivative =(1.5%)
5. Given F(x,y)=,find Fx(-4,-9) and Fy(-4,-9) (20%)
6. Use the Chain Rule to find,given z=etcosθ,r=6st,θ=.(20%)