所屬科目:研究所、轉學考(插大)-微積分
(a)
(b)
(c)
(d)
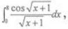
(a) Evaluate the iterated integral
(b) Find the area in the xy-plane between the y-axis and the line ,below y=cos x, and above y=sinx.