所屬科目:研究所、轉學考(插大)-微積分
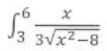
3. Evaluate the definite integral: dx.
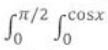
4. Evaluate the integral: (1 +sinx) dydx.
5. Evaluate the integral: dydx by reversing the order of integration.
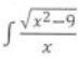
6. Evaluate the indefinite integral:dx.
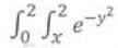
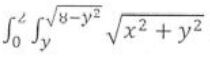
7. Evaluate the integral: dxdy using polar coordinates.
9. Find the gradient of h(x, y) = e-3xsiny at the point P(1, ) and find the directional derivative at P in the direction of = (-1,0).
10. Find if w= xyz, x=s+t, y=s-t, z = st2.