所屬科目:研究所、轉學考(插大)-微積分
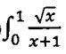
(a)dx.
(b) dx.
5. (20%) Find the volume of the solid generated by revolving the region bounded by and the lines y = 2 and x = 0 about(a) the line y = 2,(b) the line x = 4.
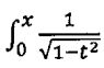
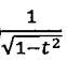
6. (20%) Find the first four nonzero terms in the Maclaurin series for , and (b) sin-1x =dt.