所屬科目:研究所、轉學考(插大)-微積分
(a)=________.
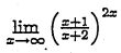
(b) If f (x)==_________
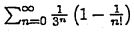
(c) Find the sum of the series : Ans:________
(d) Find the length of the space curve r (t) = (cos 2t, ) , 0 ≤t≤1. Ans: ________
(e) Evaluate the double integral dxay. Ans:________.
(f) Evaluate the line integraldy, where C is the unit circle x2 + y2 = 1.Ans:_____.
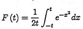
2. (10 pts) Deine for t > 0. Show that F is a strictly decreasing function of t.
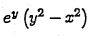
4. (12 pts) Find the local extremme values and saddle points of the function f (x, y) = .
5. (12 pts) Find the function f such that
(a) Show that xt log ads enrists.
(b) Evaluate the integral in (a) by considering
(c) Let 'n be a positive integer. Evaluate the integral