所屬科目:研究所、轉學考(插大)-微積分
(a) If f(x) < g(x) for all
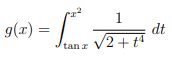
2. Find the derivative of
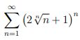
3. Determine whether converges or diverges. Identify the test used.
4. Let , x > 2. Verify that f has an inverse function and find .
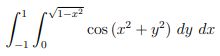
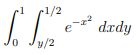
5. Evaluate
6. Find the unit tangent vector and the principal unit normal vector to the curve .
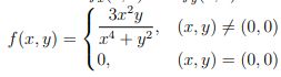
7. Show that fx(0, 0) and both exist but that f is not differentiable at (0, 0).
(a)
(b)
(c)
(d)