所屬科目:研究所、轉學考(插大)-微積分
5. 若一級數(A)O(B)X an不存在。
8. 下列敘述何者正確: (A) 若函數f(x)為奇函數,則。 (B) 若函數g(x)為偶函數(even function),則 。 (C) 承A、B,則。 (D) 承,若f(x)為一可導函數,則其導數亦為奇函數。
9. 下列有關數列之敘述,何者為非: (A) 若d ∈ ?為一實數,且,則。 (B) 若,且,則。 (C) 已知函數sin(xπ),若x → ∞其極限不存在,則數列sin(nπ)亦不收斂。 (D) 已知函數sin(π/x),若x → ∞其極限存在(收斂至 0),則數列sin(π/n)亦收斂。
10. 下列何級數發散: (A) (B) (C) (D)
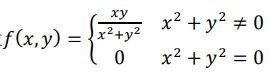
13. 假設 ,試證f(x, y)在點(0,0)處偏導數(partial derivative) 存在,但不可微(differential does not exist)。
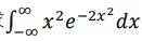
14. 試利用 ,求之值。
15. 求 之值。