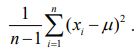
III (20%) Let Y1 ,Y2 ,Y3 ….,Y n be n uncorrelated random variables with the same mean μ and variance σ2 and denote
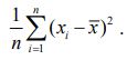
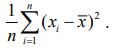
as the sample average.
(i) Find E Y(
) and Var Y(
).
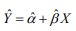
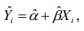
(ii) If we define the class of linear estimators of μ as
where every ai is constant, if G is an unbiased estimator of μ , what restriction on the ai needed?
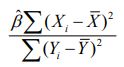
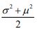
(iii) Find Var (G )
(iv) Along with (i)-(iii), show that Var G ≥Var (
) .