所屬科目:研究所、轉學考(插大)-微積分
(a) Find. (5%)
(b) Given that sinc(x) , find the value of ssss(0) according to the limit theorem. (5%)
(a) Find . (5%)
(b) Show that ax = ax ln(a). (5%)
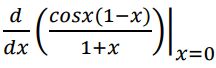
(a) find ; (5%)
(b)cos(2x) sin(4x +π/4)dx (5%)
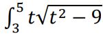
6. Evaluatedt. (10%)
7. Evaluateydx, where x = 2t − 1 and y = t2 + 2. (10%)
8. Evaluate dA over the region ?? in the first quadrant bounded by the graphs of y = x2, x = 0, y = 4 (see Fig.1). (10%)
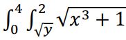
9. Evaluate dxdy reversing the order of integration. (Hint: Draw the integration area first.) (10%)
10. is the position vector of a moving particle. Find the speed at the time, . (10%)