阿摩線上測驗
登入
首頁
>
環境化學
> 109年 - 109 地方政府特種考試_四等_環保技術:環境化學概要#94597
109年 - 109 地方政府特種考試_四等_環保技術:環境化學概要#94597
科目:
環境化學 |
年份:
109年 |
選擇題數:
0 |
申論題數:
9
試卷資訊
所屬科目:
環境化學
選擇題 (0)
申論題 (9)
一、水質分析項目-電導度值(Electrical Conductivity, EC) ,是由那些物質產 生的?並列出電導度值的單位。另外,產生電導度值的物質和總溶解固 體物所代表的物質是否相同?(10分)
二、正常不受污染的雨水 pH 值約為多少?而 pH 值小於多少則稱做酸雨? (10分)
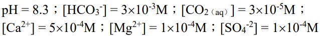
三、有一自然水體的水質分析如下:
請問總鹼度為何?(單位為 mg/L as CaCO
3
)(10分)
四、下列為發生在水中之化學反應,請按照反應平衡所需時間長短重新排 列,並說明之。(10分)
⑴酸鹼平衡 ⑵氧化還原 ⑶溶解沉澱 ⑷吸附脫附
五、化學需氧量(COD)分析中所使用的氧化劑及催化劑各為何?並寫出化學式。(10分)
六、何謂陽離子交換能力(CEC)?並說明 pH 值對 CEC 的影響。(10分)
七、土壤內 Cd、As 之主要型態為何?(10分)
八、試列出溫室效應占比較高的四種溫室氣體。 (10分)
九、試以化學式說明臭氧層產生與被氯氟烴(CFCs)消耗的過程。(20分)
相關試卷
114年 - 114 地方政府公務特種考試_四等_環保技術:環境化學概要#134795
114年 · #134795
114年 - 114 普通考試_環保技術、環境檢驗:環境化學概要#128764
114年 · #128764
114年 - 114 高等考試_三級_化學安全:環境化學#128755
114年 · #128755
113年 - 113 地方政府公務、離島地區公務特種考試_四等_環保技術、環境檢驗:環境化學概要#124352
113年 · #124352
113年 - 113 地方政府公務、離島地區公務特種考試_四等_環保技術、環境檢驗:環境化學概要#124318
113年 · #124318
113年 - 113 高等考試_三級_化學安全:環境化學#121511
113年 · #121511
113年 - 113 普通考試_環保技術、環境檢驗:環境化學概要#121088
113年 · #121088
112年 - 112 地方政府特種考試_四等_環保技術、環境檢驗:環境化學概要#118099
112年 · #118099
112年 - 112 高等考試_三級_化學安全:環境化學(含分析化學)#115764
112年 · #115764
112年 - 112 普通考試_環保技術、環境檢驗:環境化學概要#115740
112年 · #115740