所屬科目:程式設計
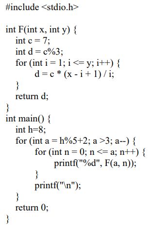
一、請依據下列 C++程式碼執行後,試問輸出結果為何?(25分)
二、請依據下列 C++程式碼執行後,若輸入如下所示,試問輸出結果為何?(25分)
三、請依據下列 C++程式碼執行後,回答輸出結果為何?(25分)
四、請依據下列 C++程式碼執行後,若輸入如下所示,試問輸出結果為何?