阿摩線上測驗
登入
首頁
>
資料結構與資料庫及資料探勘
> 109年 - 109 專技高考_資訊技師:資料結構與資料庫及資料探勘#93217
109年 - 109 專技高考_資訊技師:資料結構與資料庫及資料探勘#93217
科目:
資料結構與資料庫及資料探勘 |
年份:
109年 |
選擇題數:
0 |
申論題數:
5
試卷資訊
所屬科目:
資料結構與資料庫及資料探勘
選擇題 (0)
申論題 (5)
一、請將數列「8、70、19、3、50、25、30、10」以合併排序法(Merge Sort) 由小到大排序,並繪出排序過程。
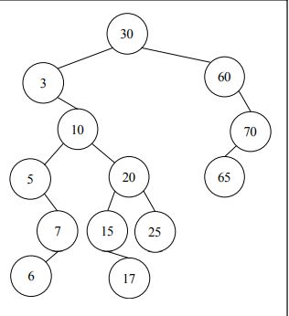
二、下圖是一棵二元搜尋樹(Binary Search Tree),依序對此樹輸入 68、4, 請逐步繪出輸入結果;對下圖的二元搜尋樹依序刪除 60、10,請逐步繪出刪除的結果。
三、資料庫管理系統並行控制(Concurrency Control)不佳時可能產生三種資料干擾問題:遺失更新(Lost Update)、未確認相依(Uncommitted Dependency)、不一致分析(Inconsistent Analysis),請說明這三種資料干 擾問題。
四、SQL 合併查詢(Join)中的外部合併查詢(Outer Join)指令可分成那三種?並請說明三種外部合併查詢(Outer Join)及內部合併查詢(Inner Join)四者之間的差異。
五、正確率(Accuracy)、精確率(Precision)、召回率(Recall)為分類 (Classification)技術中常用的評估機制,請說明三者的定義。假設有 1000 張照片,其中有 200 張為人物照,800 張為風景照,我們建立了一個分 類器(Classifier),希望能正確辨識出人物照,此分類器的分類結果如下: 400 張被判斷為人物照,其餘 600 張被判斷為非人物照,而被判斷為人物照的照片中有 250 張實際上並非人物照,請計算此分類器的 Accuracy、 Precision、Recall。
相關試卷
114年 - 114 專技高考_資訊技師:資料結構與資料庫及資料探勘#133665
114年 · #133665
113年 - 113 專技高考_資訊技師:資料結構與資料庫及資料探勘#123889
113年 · #123889
112年 - 112 專技高考_資訊技師:資料結構與資料庫及資料探勘#117644
112年 · #117644
111年 - 111 專技高考_資訊技師:資料結構與資料庫及資料探勘#111964
111年 · #111964
110年 - 110 專技高考_資訊技師:資料結構與資料庫及資料探勘#104174
110年 · #104174
108年 - 108 專技高考_資訊技師:資料結構與資料庫及資料探勘#80671
108年 · #80671
107年 - 107 專技高考_資訊技師:資料結構與資料庫及資料探勘#72860
107年 · #72860
106年 - 106 專技高考_資訊技師:資料結構與資料庫及資料探勘#66523
106年 · #66523
104年 - 104 專技高考_資訊技師:資料結構與資料庫及資料探勘#41547
104年 · #41547
99年 - 99 警察特種考試_二等_刑事警察人員犯罪分析組:資料探勘技術(包括資料庫管理與運用、線上交易處理【oltp】、資料倉儲【data warehouse】、資料探勘【data mining】)#46784
99年 · #46784