所屬科目:電子學
⑴當。
⑵當。
⑴直流靜態電流及電壓。
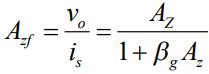
⑴試推導如形式之閉迴路轉換函數(transfer function) 表示式。
⑵試決定的表示式。
⑶若時,試求電路所需的。
⑴若。
⑵若 N2及 P2兩顆 MOSFET 皆被偏壓在飽和區,試求的範圍。