所屬科目:離散數學
(a)
(b) Use the formula from (a) to prove
(a) What is the coefficient of in the expansion of ?
(b) Use the result of (a) to compute the coefficient of in the expansion of .
3. Prove or disprove the following statement. Given a bipartite graph, if the number of vertices of odd degree on the left subgraph (subgraph A below) is odd, then the number of vertices of odd degree on the right subgraph (subgraph B below) is also odd.
4. Simplify the Boolean formula tr(M²) given the matrix M below with as few operations (AND, OR) as possible. The trace of a square matrix, denoted as tr(*) is defined by the summation of all diagonal elements in the matrix.
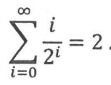
5. Convert the following finite state machine to another machine where every two transitions becomes one. That is, we have two alphabets, one after another in each transition in the new machine while all the states remain to be the same to the original machine. We assume the starting state is A.