所屬科目:微積分
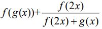
一、令 h(x) = 。已知 f(2) = g(1) = 2 ,f'(2) = g'(1) = 3,求 h(x) 的函數圖形在點(1, h(1)) 之切線方程式。
二、試求不定積分 。
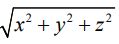
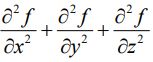
三、已知函數 F(r) = 2/r,r = G(x,y,z) = ,f(x,y,z) = F(G(x,y,z))。試求 。
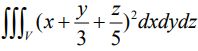
五、試求下列積分 ,此處 V = {(x,y,z)│x ≧ 0, y ≧ 0, z ≧ 0, 15x + 5y + 3z ≦ 15}。