阿摩線上測驗
登入
首頁
>
資料處理
> 109年 - 109 普通考試_統計、資訊處理:資料處理概要#88755
109年 - 109 普通考試_統計、資訊處理:資料處理概要#88755
科目:
資料處理 |
年份:
109年 |
選擇題數:
0 |
申論題數:
4
試卷資訊
所屬科目:
資料處理
選擇題 (0)
申論題 (4)
一、CSMA/CD(Carrier Sense Multiple Access/ Collision Detection)與CSMA/CA(Carrier Sense Multiple Access/ Collision Avoidance)是兩項現今普及的網路通訊協定,請比較兩者之間的差異以及各自的運作過程。
二、合併是指將兩個關聯表依合併條件合併成一個新的關聯表,當在進行合併時不管紀錄是否符合條件,都會被列出其中一個資料表的所有紀錄,稱為「外部合併」。下表分別為學生資料表以及課程資料表,若對兩個資料表進行全外部合併,其結果為何?(學號為主鍵)
三、請利用SQL語法列出「產品資料表」之全部產品編號、銷售業績、產品售價、產品名稱,並將銷售業績由低到高排序,但銷售業績為零的除外。
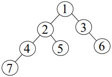
四、請問下列二元樹的中序、前序以及後序表示法為何?並繪出對應於該二元樹之引線二元樹。
相關試卷
114年 - 114 地方政府公務特種考試_三等_統計:資料處理#134709
114年 · #134709
114年 - 114 地方政府公務特種考試_四等_統計:資料處理概要#134693
114年 · #134693
114年 - 114 公務升官等考試_薦任_統計:資料處理#133027
114年 · #133027
114年 - 114 新北市公立高級中等學校_教師聯合甄選試題:資料處理科#129032
114年 · #129032
114年 - 114 普通考試_統計:資料處理概要#128748
114年 · #128748
114年 - 114 高等考試_三級_統計:資料處理#128698
114年 · #128698
113年 - 113 地方政府公務特種考試_四等_統計:資料處理概要#124481
113年 · #124481
113年 - 113 地方政府公務特種考試_三等_統計:資料處理#124275
113年 · #124275
113年 - 113 民航特種考試_三等_飛航諮詢:資料處理#122607
113年 · #122607
113年 - 113 高等考試_三級_統計:資料處理#121408
113年 · #121408