所屬科目:專科學力鑑定◆專(一):工程數學
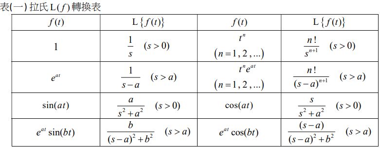
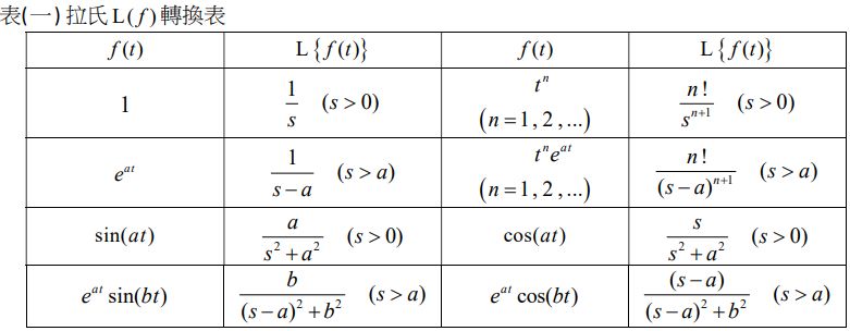
2. 已知 ,則 f (t ) 的拉氏轉換 ( Laplace transform ) L{ f (t)}為下列何者? [ 請參考最後一頁表(一)拉式L(f) 轉換表] (A) (B) (C) (D)
3. 若矩陣的行列式值為3,則 a =? (A) −2 (B) 1 (C) 3 (D) 6
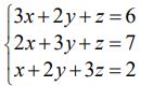
4. 若 ,則 x+ y =? (A) −6 (B) 1 (C) 3 (D) 12
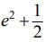
5. 已知y'= ex 。若 y (0) = 1 ,則 y (1) =? (A) e -1 (B) e (C) (D) e2 +1
6. 若向量,則a+ 2b=? (A) −1 (B) 2 (C) 3 (D) 5
7. 已知向量。若向量的內積等於5(亦即, = 5),則a =? (A) −2 (B) 0 (C) 2 (D) 5
8. 已知向量 。若向量 等於向量〈-6 , 9, -3〉 ,則a =? (A) −5 (B) −2 (C) 3 (D) 6
10. 若a b, 為矩陣的特徵值,且a≥ b ,則a-b =? (A) 2 (B) 4 (C) 6 (D) 8
11. 下列各矩陣中,何者有反矩陣(inverse matrix )? (A) (B) (C) (D)
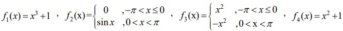
12. 已知, 則下列何者正確? (A) f1 是奇函數 (B) f2 是奇函數 (C) f3 是偶函數 (D) f4 是偶函數
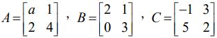
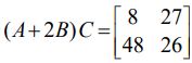
13. 已知矩陣 。若 ,則a =? (A) 3 (B) 5 (C) 8 (D) 15
14. 已知週期函數 f (x) = x, f (x+2π )=f(x) ,則下列何者是 f (x)的傅立葉級數? (A) (B) (C) (D)
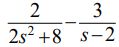
15. 反拉氏轉換 ( inverse Laplace transform ) 為下列何者?[ 請參考最後一頁 表( 一)拉式L(f) 轉換表] (A) 2e-2t-5e3t(B)3e-2t-e t (C) 3e-2t+5et(D)
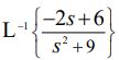
16. 反拉氏轉換 ( inverse Laplace transform ) 為下列何者?[ 請參考最後一頁 表( 一 )拉式L(f )轉換表] (A)-2cos3t+2sin3t (B) 3cos3t- 2sin3t (C) - 2cost+ 6sin3t (D) 6cost- 2sin3t
17. 利用「待定係數法」(method of undetermined coefficients)解非齊次微分方程式 y"-2y'+5y=x , 可得其通解具有下列何者的形式? (A) (B) (C) (D)
18. 已知為非齊次微分方程式y"+ 4y=x 的一個特解,則下列何者為y"+4y=x 的通解? (A) (B) (C) (D)
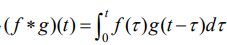
19. 兩函數 f( t ) 與g(t) 的旋積(Convolution)定義為 ,已知L{(f*g )(t)}=L{f(t)}●{g(t)},若,求L{H (t)}為下列何者? [ 請參考最後一頁 表(一)拉式L( f) 轉換表] (A) (B) (C) (D)
20. 利用代換 y= xr 解尤拉柯西方程式x2y"-2xy'+2y=0,得其通解為下列何者? (A) y=Ax-1+Bx2 (B) y= Ax2+Bx-3 (C) (D) y=Ax+Bx2