所屬科目:轉學考-普通化學
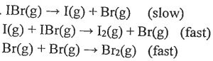
a.
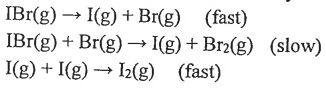
b.
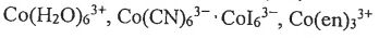
B. Rank the following complex ions in order of increasing wavelength of light absorbed. Account for your answer (4%)
B. Consider the following Lewis structure, where E is an unknown element:What are the possible identities for element E? Predict the molecular structure for this ion. (6%)
A. The titration of Na2CO3 with HCl has the following qualitative profile:Please identify the major species in solution as points B, D, and F (6%)
c. A good buffer possesses a good buffering capacity. What is the buffering capacity? How do the following buffers differ in capacity? How do they differ in pH?