所屬科目:結構學概要與鋼筋混擬土學概要
一、圖示之桁架,當未承受任何載重時,試判斷其為靜定、超靜定或不穩定; 當 E 點承受 8 kN 水平力向右時,試求 BE、ED 桿件力=?(25 分)
二、圖示之梁各段材料 E 值= 200✖ 106 kN/m 2 ,I= 100✖ 106 mm4 ,試繪其彎矩 圖,並求 C 點左右旋轉角及其垂直位移。(25 分)
三、簡支梁其中間段斷面配筋如圖示,d=55 cm,承受載重 wD=2.2 tf/m(未含 自重時)及活動均布載重 wL=1.8 tf/m 作用,混凝土單位重 2,300 kgf/m3, fcʹ=315 kgf/ 2 cm ,鋼筋 fy=4,200 kgf/ 2 cm ,試求此斷面之設計彎矩 ϕM n, 並驗證其是否滿足之要求,請以現行規範作答。D25 直徑 2.54 cm, AS = 5.067 cm2。(25 分)
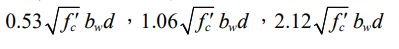
四、已知梁承受wD =2.7 tf/m(含自重)及活動均布載重 wL=2.1 tf/m 作用,混 凝土 fcʹ=315 kgf/ 2 cm ,鋼筋 fy=2,800 kgf/ 2 cm ,D10 箍筋直徑 0.953 cm, AS = 0.71 cm2,D22 主筋:直徑 2.2 cm,保護層厚度 4 cm,試求⑴混凝 土可以承擔之剪力,⑵臨界斷面處,箍筋之間距 s =?cm(25 分) 參考公式: