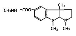
4.Chicoric acid 之結構如下:
(一)該成分主含於何藥材、學名、部位及科別?(8 分)
(二)本結構在化學分類上屬於何種類別(如 diterpenoid)?(2 分)
(三)此成分之檢驗宜利用何種層析技術及檢示器?(4 分)
(四)此成分之 1H NMR 圖譜(CD3OD)在芳香氫區(aromatic proton region)、烯氫區(olefinic proton region)與脂氫區(aliphatic proton region)各呈現那些訊號(含偶合及偶合常數之分析)?(12 分)
(五)此成分之 broad band decoupled 13C NMR 圖譜(CD3OD)呈現幾支訊號(不含 D-solvent 者)?(3 分)