所屬科目:物理化學(包括化工熱力學)
四、某一級反應的活化能為25,000 cal/mol,且其反應係數k = A e–Ea/RT式中的A 值 為 5✕1013(1/s) 。 請 計 算 此 反 應 在 何 溫 度 下 的 半 生 期 為 1 小 時 ? (R = 1.987 cal/mol·K)(15分)
五、CO2(s)在熔點的部分莫爾熔解焓(partial molar enthalpy of fusion)為 7,950 J/mol。於相同溫度,部分莫爾昇華焓為25,505 J/mol。於220 K,液 態CO2上方的平衡蒸氣壓590.6 kPa。假設汽化焓與溫度無關,請使用 Clausius-Clapeyron方程式求取液態CO2上方蒸氣壓的關係式。(15分) [Clausius-Clapeyron方程式 R = 8.314 (J/mol·K)]
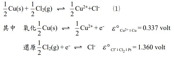
六、在一電池反應請計算反應⑴在25℃之電動勢(εo)、自由能(△Go)與平衡常數(K)。 (1 Farad = 96500 coul)(15分)