所屬科目:微積分
二、找出 之極限值,當 x 趨近於 0 時。
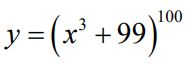
三、找出 之微分。
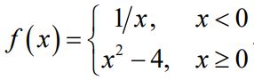
四、找出 之微分。
五、找出 之絕對最小值。
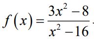
六、找出 之水平漸近線。
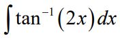
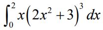
七、求。
八、求
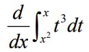
九、求 。
十、找出 之弧長從 ( 0,0 ) 到 (1, 1) 。