所屬科目:地球物理學
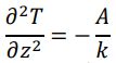
四、若考慮地球內部溫度只與深度(z)有關,在穩定狀態(steady-state)下,溫 度( )不隨時間改變,其一維熱導方程式可表示為:A為內部熱源, 為熱導係數,其有兩個邊界條件為(1)在 = 0 時, = 0 及(2)在 = 0 時, 。試透過上面的微分方程及邊界條件推導溫 度隨深度變化的函數。(10 分)