所屬科目:微積分
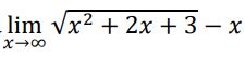
一、試求 。
二、 ,且 x< ,試求f(x)極值點的( x, y)坐標,標明其為極大值、極小值,並判斷是否為最大值或最小值。
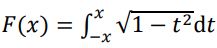
三、 ,試求 F''(x)。
四、試求積分 。
五、試求 。
六、試求 ,其中Ω = {(x ,y )|1 ≤x2y ≤ 2, x≤ y≤ 3 }。
七、試求 , 其中C是一線段,積分路徑起 點在(-1, 0, 1),終點在(1, 2, 2) 。