所屬科目:藥理學與藥物化學
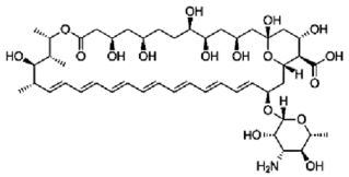
三、下圖為藥物 Amphotericin B 的結構,其臨床適應症為何?(2 分)作用 機轉為何?(2 分)從結構說明其作用基團與作用標的物之分子間交互作用。(12 分)
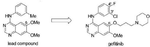
四、Gefitinib( 商 品名 Iressa)是 第一 個 上 市的 表皮 生 長 因子 接受 器 酪 胺 酸 激 酶( EGFR-TK) 抑 制 劑, 可 以用 在 非小 細 胞 肺癌 等癌 症 之 標 靶 治 療,該藥品 抑 制 EGFR-TK 的 什 麼 位 點 ?( 2 分 )以 下 為該 藥 品( 右 )與 其先 導 化 合物( 左)的 結 構,解 釋各 官 能 基從 先導 化 合 物 被 改造 的原 因 。( 10 分 )
五、腦內的多巴胺神經元可以由酪胺酸製造多巴胺,下圖左為酪胺酸結構, 填寫出以下合成步驟之酵素名稱與化合物結構與名稱。(15 分)臨床上 治療巴金森氏症使用下圖那一個化合物?(3 分)其原因為何?(6 分)