所屬科目:普考/四等◆經濟學(概要、概論)
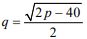
4 某市場的供給函數為 ,其中 p 及 q 分別是價格及數量。當 q = 3 時,此市場的供給彈性為: (A)17/18 (B)1 (C)19/18 (D)10/9
15 某消費者特定產品的消費數量與總效用之間的關係如下圖所示。下列敘述何者正確? (A)當消費量為 a 時,邊際效用為正 (B)當消費量大於 a 時,增加消費數量反而會使總效用下降 (C)不論消費量為多少,邊際效用都固定 (D)邊際效用永遠為正
17 假設一消費者消費 X 與 Y 兩種產品,其預算線如下圖 bc 線段,無異曲線與預算線相切於 a 點。若 PY 價 格上升且其他條件不變下,消費者會選擇 d 點(位於 a 點的左上方),下列敘述何者錯誤? (A)財貨 Y 為劣等財 (B)財貨 Y 為季芬財 (C)a 點與 d 點的支出相同 (D)財貨 Y 價格上升時的替代效果大於所得效果