所屬科目:研究所、轉學考(插大)-微積分
(a) (5%)
(b)
2. (a)cos7xdx (5%)
(b)(5%)
4. (10%) Find the eigenvalues and eigenvectors of the matrix
6. (10%) Evaluate counterclockwise around the boundary C of the region R by Green's theorem, where
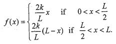
7. (10%) Find the even periodic expansions of the function (half-range expansion)
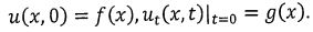
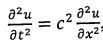
8. (10%) Use the method of separating variables to solve the one-dimensional wave equation , for the vibrations of an elastic string of length L. The boundary conditions are u(0, t) = 0,u(L,t) = 0 for all t. The initial conditions are
9. (10%) Fill out the table for Laplace Transform
10.(10%) Show that the line integrals F3dz) in a domain D in space is path independent if and only if is the gradient of some function f in D.