所屬科目:研究所、轉學考(插大)-微積分
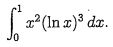
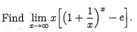
Problem 1. (10%)Find
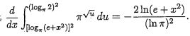
Problem 2. (10%) Show that
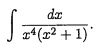
Problem 3. (10%) Evaluate
Problem 4. (10%) Find the indefinite integral
Problem 5. (10%) Evaluate
Problem 6. (10%) Find a positive integer n such that Explain your answer.
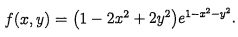
Problem 7. (10%) Find the relative extrema of the function Use the second derivative test when applicable.
Problem 8. (10%) Find the maximum and minimum value of the n-variable function x1 + x2+...+xn subject to the constraint by the method of Lagrange multipliers.
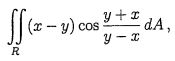
Problem 9. (10%) Evaluate the double integral where R is the trapezoidal region with vertices (1,0), (2,0), (0, -2) and (0, -1).
Problem 10. (10%) Find the area of the region bounded by the graphs of the polar equations r =