所屬科目:研究所、轉學考(插大)-微積分
Instruction: This is a closed book exam. There are 10 problems and each is worth 10 points. Write everything CLEARLY, any ill-explanation or bad handwriting on your answer sheet should cause no credits. It is YOUR responsibility to turn in a clean, well-organized answer sheet. Problem (1) Find exp(az) cos (bx)dn.
Problem (3) Find the relative extrema of the function f(x, y) = x3 - 12xy + 8y3, (x,y)
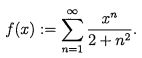
Problem (4) Find the interval of convergence of the following series:
Problem (5) Find the particular solution of
Problem (6) Let If is clear that O is a root of f(x) = 0. Use Newton's method with initial xo = 1 to obtain a sequence of "approximations". Does the above "approximations" approach 0? If not, give the reason.
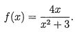
Problem (8) Show thatYou can prove this by first showing that
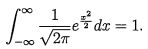
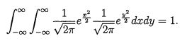
Problem (10) Find if it exists.