所屬科目:研究所、轉學考(插大)-微積分
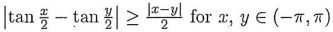
1. (10 %) Prove or disprove that.
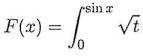
2. (5%) Letdt, find derivative of F(x) .
3. (10%) Use Riemann sum to find the definite integraldx.
4. (10 %) Find , where a, b are constant real numbers.
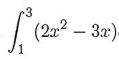
(a) (5%) Findxdx
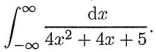
(b) (10 %) Evaluate the improper integral
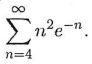
6. (10 %) State the Integral Test and apply it to determine the convergence or divergence of the series:
7. (20 %) Find the length of r = 1 + cos θ and area of its interior region.
9. (10 %) Use the change of variables to evaluate the given double integral where R is the region given in the picture on the right.