所屬科目:研究所、轉學考(插大)-微積分
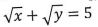
i.
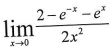
ii.
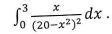
iii.
Evaluate the following (25%) i. ii iii. iv.v.
5. Find h'(x) given costdt.(10%).
6. Find the Taylor polynomial of theand the remainder term R5(x). (10%)
7 A company's total profit from manufacturing and selling x units of their model product is given by P'(x)=-0.02x2+300x-200000(0≤x≤20,000) How many units of the products must the company produce to maximize their profits? (10%)