所屬科目:研究所、轉學考(插大)-微積分
1.請問以下何者是錯誤的敘述? (A)積分符號“∫”是一個拉長的S,代表Summation也就是加總求和的意思 (B)微分符號 “dx"的作用是在x 上分割求差,所以d代表difference (C)∞ 或無限大是一個無限大的數,屬於實數集 (D)所有正整數的數目與所有正偶數的數目一樣多 (E)以上皆為錯誤
2. 請問以下何者是正確的敘述? (A)世界上存在一個最小的正數,我們就它ε>O (B)“對妳(你)的愛是實數集,妳(你)有理,或無理,我全部包容”這首诗可以用符號换成: “對妳(你)的愛是R,妳(你)Q,或Z,我全部包容” (C)畢達哥拉斯他相信一個線段只可以被有限地分段,而分段後的最小長度>0 (D)目前我們所使用的微積分符號多來自微積分創造者之一的牛頓 (E)以上皆為正確
3.請問以下何者是錯誤的敘述? (A)定積分相當於在求一個三角形面積 (B)在歐幾里得的幾何原本中,一個點只有位置沒有長度,一條線段有長度並且寬度=1 (C)著名的斐波纳契數列{0,11,23,5,8,...}為人造數列,不存在於自然界中 (D)函數2x的微分是 (E)以上皆為錯誤
4.請問以下何者是正確的敘述? (A)雙變數函數圖形中可能出現的鞍點為一理論值,在自然界中沒有對應的例子存在 (B)我們可以用根號函數與自然對數函數Inx形容經濟學的效用函數(UtilityFunction) (C)當求極限 得到0/0時,我們沒有其他方法可以克服只能說無意義 (D) (E)以上皆為正確
5.以下何者所代表的意義與其他選項不同 (A)函數f(x)為concave (B)f(E[X])2E[f(X)],其中E[X]為變數X的期待值 (C) f(x)=Inx, x>0 (D)InA.M.(X))≥A.M.(In(X)),其中A.M.(X)為X{x1,x2,...,xn}的數值平均 (Arithmetic Mean) (E)以上皆相同
6. 以下何者是正確的敘述? (A)一個連續的函數必定是可微分 (B)在黎曼和(RiemannSum)的計算中,我們必須選取矩形底邊△x的左端點,若選取中點或右 瑞點則所求出的黎曼和會有不同的極限值 (C)微分的乘積律與連鎖律均有相對應的積分技巧,例如從連鎖律可得出部分積分法 (Integration by Parts) (D)連續函數的中間值定理(MeanValueTherem)只具有圖形上的幾何性質,與微分基本定理 無太大關聯 (E)以上皆為錯誤
(1)
(2)
(3)
(4)
(5)
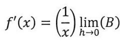
(1)對f(x)=Inx寫出微分的定義公式f'(x)=.請寫出A=?
(2)改寫(1)的結果為:
請寫出B=?
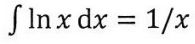
(3)證明=1
(1)請由以下步驟求出X的機率密度函數表示:
(4)使用變數轉換(S→z)將以下積分改寫:
請寫出C=?D=?E=?答案E請化簡到最後結果.其中z~N(0,1),亦即:
(5)求出在(4)中的積分