所屬科目:中山◆資工◆工程數學
1. The following matrix describes a system of linear equations in five unknowns: v, w, x, y, z What is the general solution to this system?
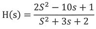
3. Find the impulse and step responses of a system with transfer function.
5. Find a particular solution of