所屬科目:研究所、轉學考(插大)◆工程數學
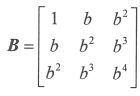
(b) (10%) Compute the inverse of the following matrix B or show that B is not invertible.
(a) (10%)
(b)(10%) , where b is any real number
(b) (10%) Compute