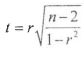
Q5.(15%) In simple linear regression, show that the test statistic
for fortesting ρ=0, testing p = 0 is equivalent to the test statistic
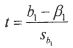
for testing β1=0,where b1 is the least square estimate of β1, r is the sample correlation coefficient and
is the estimated standard error of b1.