所屬科目:研究所、轉學考(插大)-微積分
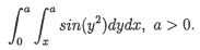
Problem 1 (10 points) Evaluate the iterated integral
(a) Evaluate
(b) Evaluate
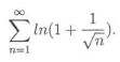
(c) Find the interval of convergence of the power series
(a)
(b)
Problem 5 (10 points) Evaluate the integral
Problem 6 (10 points) Evaluate the improper integraln is a positive number.