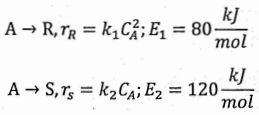
A liquid-phase irreversible reaction: P +Q →R+S follows the elementary reaction rate law. This reaction is carried out in a series of three, equal volume CSTRs at the same reaction temperature. The concentrations of P and O in the feed to the first reactor are the same

If the rate constant (k) for this reaction is 3.50 L/mol-h at the operation temperature. The final conversion is 0.75. If the total volume of these three reactors is 9300 L, what is the volume flow rate (in L/h) to the first reactor? What are the conversions in reactors 1 and 2?